O Controle Estatístico de Qualidade (CEQ) é uma metodologia que aplica técnicas estatísticas para monitorar e controlar processos produtivos. Seu objetivo é garantir a qualidade dos produtos, identificando não conformidades e aplicando ações corretivas para evitar que os problemas se agravem.
Se você está procurando uma maneira eficaz de melhorar a qualidade dos seus produtos ou serviços, o controle de qualidade estatístico pode ser exatamente o que você precisa.
Seja em uma indústria de manufatura ou empresa de serviços, o controle de qualidade estatístico pode ajudar a identificar e resolver problemas antes que afetem os seus clientes.
Neste artigo, discutiremos o que é o controle de qualidade estatístico e como podes implementá-lo na tua empresa para obter melhores resultados. Continue lendo para saber mais!
O que é Controle Estatístico de Qualidade?
O controle de qualidade estatístico é uma técnica responsável por medir e analisar a qualidade dos seus produtos ou serviços, utilizando ferramentas estatísticas. Essas ferramentas ajudarão na coleta e análise dos dados, permitindo identificar qualquer padrão ou tendência e auxiliando na tomada de decisões necessárias para melhorar seus produtos ou serviços.
Para implementar o controle de qualidade estatístico, devemos seguir três etapas:
- Medição e coleta de dados.
- Análise dos dados.
- Implementação de medidas corretivas.
É importante que os dados sejam coletados de forma precisa e confiável, e que sejam analisados utilizando ferramentas estatísticas apropriadas. Em seguida, devem ser tomadas medidas corretivas para melhorar a qualidade do produto ou serviço e prevenir problemas futuros.

Qual o objetivo do controle estatístico da qualidade?
Para alcançar seus objetivos, o CEQ utiliza uma série de técnicas estatísticas que permitem identificar e controlar as variações nos processos produtivos. Suas metas principais são melhorar a qualidade dos produtos e serviços, reduzir os custos e aumentar a satisfação do cliente.
No entanto, também se concentra em outros pontos relevantes que apresentamos a seguir:
Reduzir a variabilidade dos processos
Isso significa que a metodologia busca diminuir a variação na produção do mesmo produto, pois uma menor variabilidade implica que os itens têm um maior nível de uniformidade e cumprem com os padrões de qualidade estabelecidos.
Além disso, uma redução na variabilidade permite reduzir os custos de produção ao diminuir os recursos utilizados para ajustar os processos e corrigir erros.
Melhorar a capacidade do processo
Este objetivo refere-se à capacidade dos processos de uma empresa em produzir dentro das especificações estabelecidas. Buscamos garantir que os produtos ou serviços atendam aos requisitos do cliente e sejam entregues no prazo e na forma acordados.
A melhoria da capacidade do processo resulta em uma redução no número de erros e defeitos, o que, por sua vez, leva a uma diminuição nos custos de produção e, consequentemente, a uma melhoria na rentabilidade do negócio.
Além disso, o CEQ tem como objetivo melhorar a eficiência dos processos produtivos. Isso é alcançado pela identificação de áreas de desperdício e retrabalho no processo, bem como pela implementação de medidas para minimizá-los.
A redução no desperdício e retrabalho não apenas leva a uma diminuição nos custos de produção, mas também resulta em uma melhoria na satisfação do cliente ao receber produtos de qualidade no prazo acordado.
É importante destacar que a melhora na capacidade e eficiência do processo não é alcançada imediatamente, mas é um processo contínuo que requer monitoramento, análise e inspeção constante dos dados de produção. Para isso, são utilizadas várias ferramentas estatísticas, como análise de controle de processos, capacidade do processo, entre outras.
Além disso, o CEQ não se aplica apenas à produção de bens, mas também é essencial na prestação de serviços. Nesse caso, o objetivo é garantir que os serviços sejam fornecidos consistentemente e de acordo com as expectativas do cliente.
BAIXE GRÁTIS | Modelo de Checklist para Gestão de Qualidade
Ferramentas para o controle estatístico da qualidade
Agora que entendemos o que é o Controle de Qualidade Estatístico e conhecemos seus principais benefícios, é hora de aprofundar nas ferramentas que o compõem e que permitem sua execução de maneira eficaz.
Entre as principais ferramentas do CQE, encontramos o Controle Estatístico de Processos (CEP) e a Amostragem de Aceitação (AA), cada um com suas vantagens e limitações. A seguir, detalharemos cada uma dessas ferramentas e sua aplicação no ambiente empresarial e industrial.
Controle Estatístico de Processos (CEP)
O Controle Estatístico de Processos (CEP) é uma ferramenta fundamental no âmbito do Controle de Qualidade Estatístico, pois foca em monitorar e controlar a variabilidade nos processos produtivos de uma empresa.
O objetivo do CEP é detectar e corrigir qualquer desvio no processo, a fim de tornar a produção mais uniforme e previsível. Esses desvios podem ser causados por fatores como variabilidade na matéria-prima utilizada, desgaste das máquinas utilizadas no processo ou erro humano.
Os histogramas de controle do CEP permitem que operadores e supervisores de produção monitorem os processos em tempo real e detectem qualquer desvio. Além disso, o CEP ajuda as empresas a melhorar a qualidade de seus produtos e reduzir o desperdício ao identificar e corrigir problemas antes que se tornem defeitos de produção.
Amostragem de Aceitação (AA)
A amostragem de aceitação é uma ferramenta usada para inspecionar lotes de produtos ou serviços e decidir se são aceitos ou rejeitados. O objetivo ao usar esse tipo de formato de checklist ou ferramenta é determinar se o lote atende às especificações previamente estabelecidas e, caso contrário, identificar as causas da não conformidade.
Existem dois tipos de AA: amostragem por atributos e amostragem por variáveis. O primeiro baseia-se em avaliar a qualidade dos produtos de forma discreta, atribuindo uma categoria de aceitável ou não aceitável. Por outro lado, o segundo utiliza medidas quantitativas para avaliar a qualidade dos produtos.
Planejamento Avançado da Qualidade do Produto (APQP)
Esta ferramenta é uma metodologia utilizada na indústria para planejar e desenvolver produtos e processos de forma sistemática e eficaz.
O APQP concentra-se na prevenção de erros ou defeitos durante o processo de desenvolvimento do produto, em vez de encontrar soluções depois que os problemas já ocorreram.
A metodologia inclui várias etapas, desde o planejamento até a validação e o lançamento do produto.
Qual a importância das ferramentas do controle estatístico da qualidade?
Utilizar essas ferramentas pode fazer a diferença entre uma empresa capaz de produzir produtos de alta qualidade de forma consistente, e uma que luta constantemente contra problemas de qualidade e eficiência.
Portanto, é fundamental que as empresas compreendam a importância dessas ferramentas e as incorporem em seus processos de produção o mais rápido possível.
Como realizar um controle estatístico da qualidade eficaz?
Existem diversas técnicas e estratégias para realizar o controle de qualidade. Uma das opções mais utilizadas é o Seis Sigma, que busca aumentar a produtividade e rentabilidade ao reduzir a variabilidade.
Em outras palavras, este método otimiza as áreas do processo e estabelece a melhoria contínua como uma nova cultura empresarial, possibilitando assim a redução de defeitos nos produtos.
O nome dessa técnica refere-se a seis desvios padrão da média. Através do algoritmo, é possível obter um máximo de 3.4 defeitos por milhão de oportunidades (DPMO).
Este processo não seria possível sem o Controle Estatístico de Processos (CEP ou SPC, em inglês), que significa um conjunto de ferramentas para monitorar o desempenho de um processo. Por sua vez, este método utiliza gráficos de controle, nos quais o eixo vertical representa o valor da variável de interesse.
Sobre esse eixo, são apresentadas três linhas:
- Linha média (LM): onde coincide o valor médio da qualidade estudada;
- Limite Superior de Controle (LCS);
- Limite Inferior de Controle (LCI).

Os limites são obtidos por meio de uma análise estatística de dados que representam o intervalo em que os pontos devem estar se o processo estiver sob controle.
Como resultado, afirma-se que uma atividade está em estado de controle quando o processo varia de forma estável em torno de um valor médio fixo. Por outro lado, se os valores estiverem fora do intervalo dos limites de controle, é possível concluir que o processo está fora de controle e que existe uma variação que precisa ser eliminada.
Além disso, o Controle de Qualidade Estatístico ajuda a antecipar problemas futuros. Com essa informação, é possível corrigir os problemas a tempo e garantir a qualidade a longo prazo.
Como construir um gráfico de controle?
Para construir um gráfico eficaz que reflita o controle de qualidade, siga os seguintes passos:
- Selecione a variável a ser medida. Além disso, defina o tamanho da amostra e a frequência de coleta de dados;
- Estabeleça os limites ideais com o processo sob controle;
- Obtenha amostras homogêneas para evitar inclinações;
- Calcule o valor médio e os limites de controle (desvios padrão) para completar as informações do gráfico;
- Organize os dados no gráfico e analise-os;
- Identifique situações fora de controle;
- Por fim, é hora de eliminar as causas de variações especiais.
Tipos de gráficos de controle
No mercado, existem diversos tipos de gráficos de controle que atendem a diferentes objetivos e variáveis. Selecionamos os mais populares:
Gráfico da média, amplitude e desvio padrão (X, R e S)
Este gráfico bivariante é recomendado para medir características de qualidade do tipo contínuo, pois encontra a melhor combinação de valores dos fatores controláveis, a partir de valores desejáveis da média e do desvio padrão.
Com isso, obtém-se um conhecimento do comportamento conjunto dos valores da média e do desvio padrão da resposta na região de análise dos fatores controláveis, diante da presença de fatores de ruído.
Gráfico C
Ideal para medir o número total de defeitos em uma série de amostras do mesmo tamanho.
Para construí-lo, os inspetores de cada processo devem anotar cada problema identificado, que corresponde às Unidades de Inspeção (mais de 25 ou 30) em intervalos regulares.
Em cada unidade de inspeção, conta-se o Número de Defeitos e registra-se. Em seguida, divide-se o Número de Defeitos de cada unidade de inspeção por m (Número de unidades de produção em cada unidade de inspeção). Assim, o gráfico calcula a média do Número de Defeitos nas amostras (Unidades de Inspeção).
Gráfico U
Esta representação gráfica é uma excelente opção quando a unidade de medida varia e é necessário contar os defeitos. Neste caso, calcula-se o número de defeitos por unidade de medida para gerar o gráfico.
Este enfoque leva em consideração que os produtos em avaliação podem consistir em um número variável de unidades, como os rolos de filme fotográfico, que não terão exatamente o mesmo comprimento, entre outros exemplos. Além disso, considera situações onde o inspetor pode estar envolvido em várias tarefas, o que requer um esquema mais flexível.
Portanto, para criar o gráfico, é necessário dividir o número total de defeitos pelo número de unidades na amostra.
Gráfico NP
Inclui o número de unidades defeituosas da amostra de tamanho constante. Para o seu cálculo, é necessário manter um número de amostras constante e registrar a quantidade de produtos defeituosos. Este conjunto de dados combinado é usado como o valor p na fórmula da seguinte maneira:

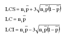
Gráfico P
Representa a proporção de unidades defeituosas da amostra que não cumprem as especificações. Os valores para construí-lo são simples: aprovado e não aprovado. Posteriormente, calcula-se a média das unidades defeituosas para cada amostra e então obtém-se a média das unidades defeituosas do total de amostras. Com esses dados, obtemos o Limite de Controle Superior (LCS) e o Limite de Controle Inferior (LCI), com os quais o gráfico é construído.
Agora que você já sabe o que é controle de qualidade estatístico, que tal aplicar na prática com o apoio de uma ferramenta de qualidade utilizada por mais de 1.500 empresas?
Se você está procurando uma solução eficiente e fácil de usar, experimente o Checklist Fácil hoje mesmo! O software líder de mercado na América Latina é perfeito para otimizar seus processos de controle de qualidade e garantir resultados mais precisos e rápidos. Solicite uma demonstração!


